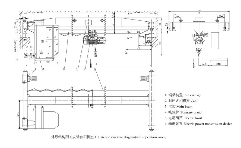
產品描述

本產品廣泛用于工廠、倉庫、料場等不同場合吊運貨物,禁止在易燃、易爆腐蝕性介質環境中使用。
本產品設有地面和操縱室兩種操作形式。操縱室有開式、閉式兩種,可根據實際情況分為左或右面安裝兩種形式,入門方向有側面及端面兩種,以滿足用戶在各種不同需要的情況下進行選擇。



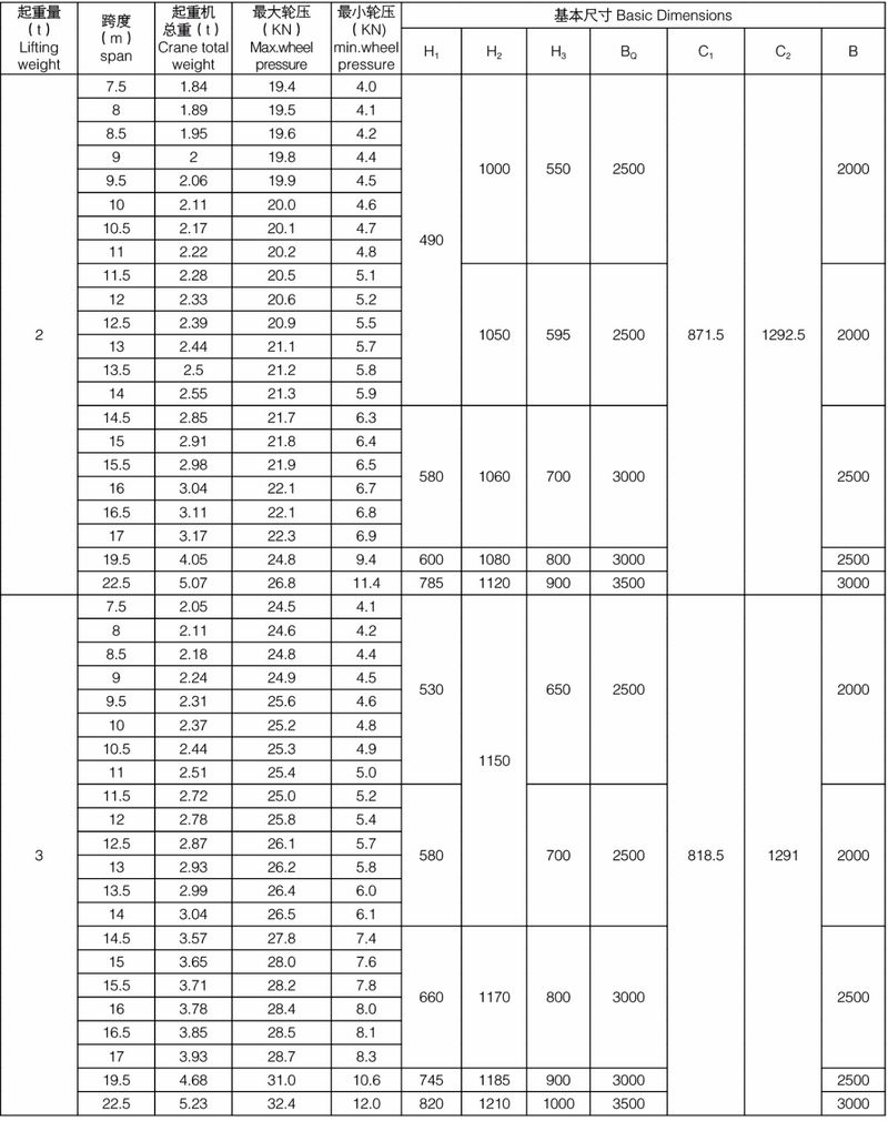
產品訂購
- 上一篇:LB型防爆電動單梁起重機
- 下一篇:沒有了;

本產品廣泛用于工廠、倉庫、料場等不同場合吊運貨物,禁止在易燃、易爆腐蝕性介質環境中使用。
本產品設有地面和操縱室兩種操作形式。操縱室有開式、閉式兩種,可根據實際情況分為左或右面安裝兩種形式,入門方向有側面及端面兩種,以滿足用戶在各種不同需要的情況下進行選擇。


